Interactive Modeling

Physical System

Giant axon from the squid: Loligo pealei

Conceptual Model

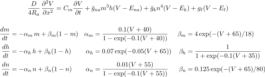
Hodgkin-Huxley cable equations

../_images/hh.gif

Simulation

Computational implementation of the conceptual model

We could implement this model in Python:

from neuron import n, gui

axon = n.Section(name='axon')
axon.L = 2e4
axon.diam = 100
axon.nseg = 43
axon.insert(n.hh)

But for this exercise, let’s instead use the CellBuilder tool to create the model:

../_images/cbgeom.gif ../_images/cbbio.gif

Save the model in hhaxon.ses using NEURONMainMenu ‣ File ‣ savesession

Using the computational model

If starting from a fresh launch of python, you can load the saved ses file by loading NEURON and its GUI: from neuron import n. gui and then selecting NEURONMainMenu ‣ File ‣ loadsession

Alternatively you can use NEURON to execute hhaxon.ses

  1. Change to the appropriate directory in your terminal

  2. Start python, and at the >>> prompt enter the commands

from neuron import n, gui
n.load_file('hhaxon.ses')

Exercises

  1. Stimulate with current pulse and see a propagated action potential.

    The basic tools you’ll need from the NEURON Main Menu

    Tools ‣ Point Processes ‣ Manager ‣ Point Manager to specify stimulation

    Graph ‣ Voltage axis and Graph ‣ Shape plot to create graphs of v vs t and v vs x.

    Tools ‣ RunControl to run the simulation

    Tools ‣ Movie Run to see a smooth evolution of the space plot in time

  2. Change excitability by adjusting sodium channel density.

    Tool needed: Tools ‣ Distributed Mechanisms ‣ Viewers ‣ Shape Name

  3. Use two current electrodes to stimulate both ends at the same time

  4. Up to this point, the model has used a very fine spatial grid calculated from the Cell Builder’s d_lambda rule

    ../_images/geometry.gif

    Change nseg to 15 and see what happens